Lots of interesting abstracts and cases were submitted for TCTAP 2026. Below are the accepted ones after a thorough review by our official reviewers. Don¡¯t miss the opportunity to expand your knowledge!
ABS20251108_0002
The Impact of Obesity Metabolic Phenotypes on Long-Term Prognosis in Patients With Left Main and/or Triple-Vessel Coronary Artery Disease
By Queyun Sun, Hong Qiu, Jinqing Yuan, Ying Song
Presenter
Ying Song
Authors
Queyun Sun1, Hong Qiu1, Jinqing Yuan1, Ying Song1
Affiliation
Fuwai Hospital, National Center for Cardiovascular Diseases, Chinese Academy of Medical Sciences and, China1
View Study Report
ABS20251108_0002
Left Main
The Impact of Obesity Metabolic Phenotypes on Long-Term Prognosis in Patients With Left Main and/or Triple-Vessel Coronary Artery Disease
Queyun Sun1, Hong Qiu1, Jinqing Yuan1, Ying Song1
Fuwai Hospital, National Center for Cardiovascular Diseases, Chinese Academy of Medical Sciences and, China1
Background
Obesity and metabolic dysfunction are well‑established contributors to atherosclerotic cardiovascular disease. However, their prognostic implications in high-risk patients with left main and/or triple-vessel coronary artery disease (LM/3VD) remain insufficiently explored.
Methods
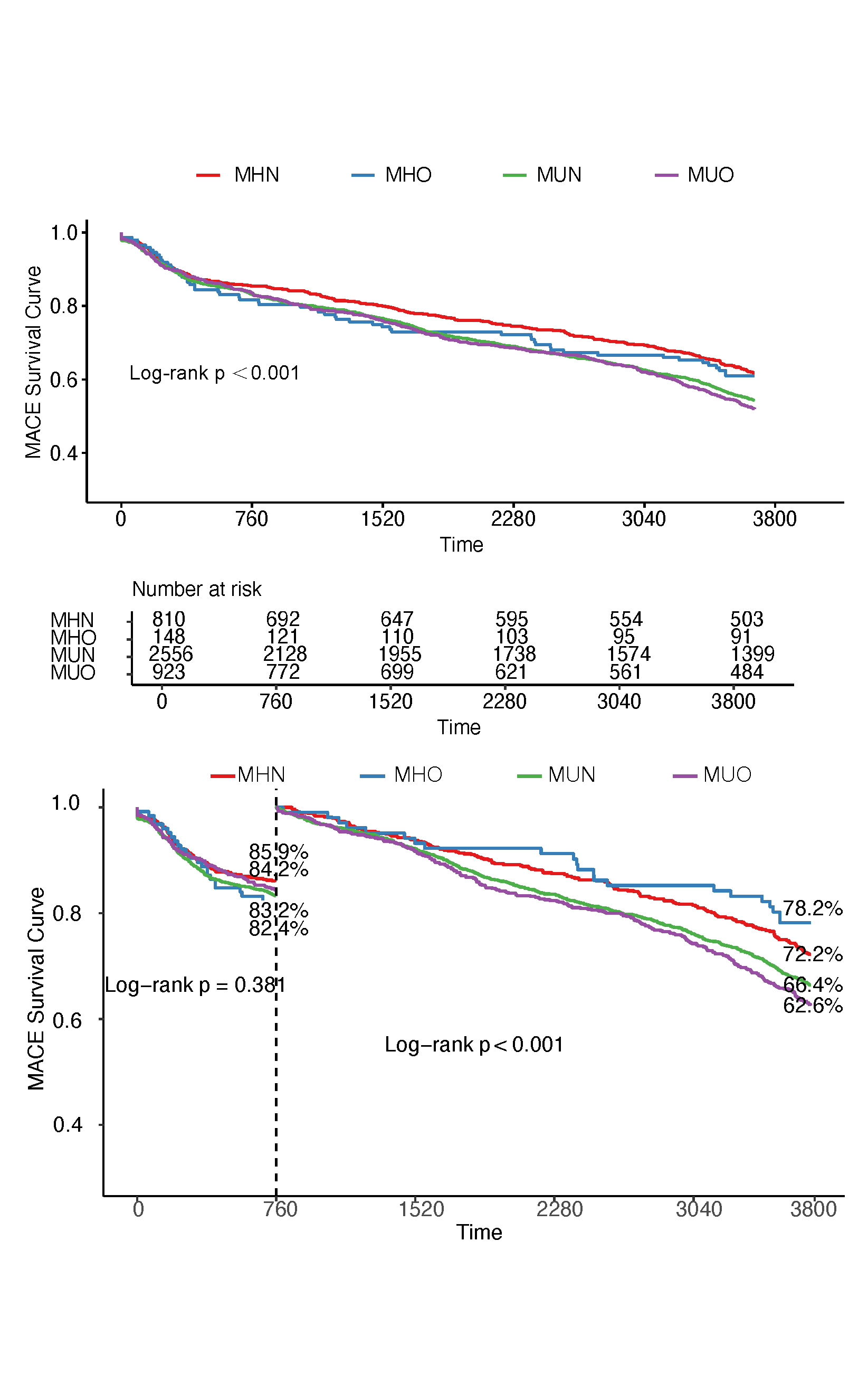
A total of 4,437 patients with angiographically confirmed LM/3VD were followed for 10 years. Participants were categorized into obesity-metabolic phenotypes based on body mass index (BMI, with ¡Ã28 kg/m©÷ defining obesity) and metabolic health status (defined as the presence of two or more of the following: hypertension, dyslipidemia, or diabetes). The primary endpoint was the occurrence of major adverse cardiovascular events (MACE). Statistical analyses included Kaplan-Meier survival analysis with log-rank tests, Landmark analysis, and time-dependent as well as time-stratified Cox proportional hazards regression models to assess the associations between phenotypes and clinical outcomes.
Results
Over 10 years, 1,960 major adverse cardiovascular events (MACE) occurred (44.2%). Event rates by obesity–metabolic phenotype were: metabolically healthy normal weight (MHN) 37.9%, metabolically healthy obese (MHO) 38.5%, metabolically unhealthy normal weight (MUN) 45.3%, and metabolically unhealthy obese (MUO) 47.6%. Kaplan–Meier analysis showed significant differences in event-free survival across phenotypes over the 10-year follow-up (log-rank P<0.05), with Landmark analysis showing disparities emerging only after 2 years. Time-dependent Cox regression identified metabolic abnormality as an independent risk factor for 10-year MACE [MUN: aHR (95%CI): 1.167 (1.014-1.344), P=0.023; MUO: 1.282 (1.088-1.510), P=0.003]. Time-stratified Cox regression confirmed that the risk was most prominent during 2–10 years [MUO: 1.324 (1.078-1.627), P=0.003].


Conclusion
Metabolic abnormality, especially metabolically unhealthy obesity, is an independent predictor of cardiovascular adverse events in LM/3VD patients, predominantly influencing long-term prognosis. Long-term metabolic disease management and active weight loss are crucial for improving outcomes in these high-risk patients.
